Gestión Empresarial
La estructura de costes y el Grado de Apalancamiento Operativo (GAO)
Publicado el 24 octubre 2025
Modificado el 17 noviembre 2025
En este artículo vamos a abordar la dimensión empresarial y la forma en que el tamaño de una compañía influye en la función de costes y, por lo tanto, en la rentabilidad. Introduciremos y explicaremos el concepto de Grado de Apalancamiento Operativo (GAO), que ayuda a comprender mejor el concepto. Pero, antes de entrar en materia, hagamos una introducción.
Por paradójico que pueda parecer, en el caso de que un proyecto empresarial tenga éxito, uno de los principales retos a los que deberá enfrentarse un emprendedor a lo largo de su trayectoria es el de apostar por el crecimiento de su negocio.
Los planes de expansión nos suelen situar al borde del precipicio: hay que tomar decisiones importantes que afectan a la estructura de la empresa, a la contratación de nuevos empleados, a la tecnología que se va a utilizar, al aumento de la participación en el mercado, a la visibilidad frente a los competidores, etc.
Sin embargo, mantenerse en la dimensión actual por miedo a afrontar decisiones complejas no suele ser una buena opción, ya que podría condenar al negocio a una muerte lenta a manos de los competidores más activos. En la relación que existe hoy en día con el mercado potencial, no basta con hacer las cosas bien: hay que hacerlas mejor que la competencia.
La dimensión empresarial y la estructura de costes
Cuando hablamos de dimensión empresarial nos estamos refiriendo a la capacidad de producción. Se entiende tal capacidad como la tasa máxima de producción en condiciones normales (sin horas extra ni congestión de instalaciones), medida en unidades de producto obtenido por unidad de tiempo.
En el momento en que el crecimiento económico acerca a los proyectos empresariales al límite de su capacidad productiva, se plantea la necesidad de realizar nuevas inversiones que permitan abastecer una demanda creciente.
La adopción de la nueva tecnología disponible tiene efectos en la estructura de costes. Por una parte, la mayor dimensión implica costes fijos más altos, pero también menores costes variables por unidad.
Si la empresa es capaz de conseguir que el aumento de unidades producidas compense el aumento de costes fijos, de manera que el coste fijo por unidad resulte también más bajo que antes de realizar la inversión, el resultado serán unos costes totales por unidad de producto inferiores.
Llegados a este punto, la compañía tendría una importante ventaja con respecto a aquellos competidores que decidieron no dar el salto de crecimiento de su proyecto empresarial: estaría operando con economías de escala.
Son diversos los factores que pueden contribuir a que un negocio consiga la aparición de economías de escala, entre los que podríamos citar los siguientes:
- Factores técnicos. Se refieren a la introducción de mejoras en los sistemas de producción, que elevan las tasas de productividad.
- Factores de dirección. Estos influyen en la correcta utilización de los recursos disponibles en una organización.
- Factores financieros. Se traducen en la facilidad para acudir a fuentes de financiación.
- Factores de ventas. Aquí entran el lanzamiento de nuevos productos y las ventajas en los precios de los proveedores por el crecimiento de los pedidos.
El siguiente gráfico ilustra los efectos que el aumento de la dimensión empresarial tiene sobre la estructura de costes:

Con el aumento de estructura derivado de la innovación tecnológica, se produce un incremento del coste fijo para la empresa de “gran dimensión” (1) con relación al que tenía anteriormente como empresa de “dimensión reducida” (2).
Por otra parte, el coste variable por unidad es menor para la empresa de “gran dimensión”, lo que consigue que su curva de costes totales (CT) sea más plana que la anterior como empresa de “dimensión reducida”.
La curva de Ingresos Totales (IT), sin embargo, no varía en un contexto competitivo. Esto es así porque depende de las unidades que cada compañía es capaz de vender (x) al precio (p) establecido por el mercado (IT = p*x).
En estas condiciones, ya ves que la empresa de “pequeña dimensión” necesita vender una menor cantidad de unidades (xr) para empezar a obtener beneficios que la empresa de “gran dimensión” (xg). También goza de unos costes totales menores para cantidades pequeñas de producción, hasta llegar a la igualación de costes (5).
A partir de ese punto, los beneficios de la compañía mayor serán crecientemente superiores (7) a los de la empresa de menor dimensión (6).
Para cuantificar este efecto, disponemos del concepto de Grado de Apalancamiento Operativo (GAO).
Cegid XRP Enterprise
Descubre la gestión inteligente de tu negocio con Cegid XRP Enterprise
Benefíciate de la IA en la siguiente generación de ERP, una solución personalizada y adaptada a las necesidades de tu empresa
En qué consiste el Grado de Apalancamiento Operativo (GAO)
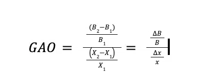
Podemos definir el Grado de Apalancamiento Operativo como la relación por cociente entre la variación relativa experimentada por el beneficio y la variación relativa habida en el número de unidades de producto vendidas.
Nos referimos, por lo tanto, a la relación existente entre el crecimiento del beneficio y el aumento en la cantidad vendida que lo ha originado, y que podríamos sintetizar con la fórmula siguiente:

En el numerador tendremos el tanto por uno del crecimiento del beneficio entre dos períodos; mientras que el denominador nos indicará el tanto por uno del crecimiento de las unidades vendidas en ese mismo período temporal.
El resultado del cociente nos dará una cifra que, como se puede ver, carece de unidades.
Hay que destacar que el Grado de Apalancamiento Operativo se mantendrá mientras no varíe la estructura de costes de la empresa ya comentada en los párrafos anteriores.
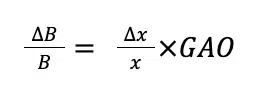
Podemos utilizar la relación anterior para establecer cómo un supuesto crecimiento en las unidades vendidas afectaría al beneficio final obtenido, debido a lo siguiente:

Bajo los supuestos indicados, el GAO será mayor cuanto mayor sea la dimensión de la empresa. Esto nos lleva a una conclusión interesante: para un mismo crecimiento porcentual de las unidades vendidas, el aumento del beneficio será más grande para las actividades que hayan conseguido operar en una mayor dimensión.
Un sencillo ejemplo te puede ayudar a comprender mejor las implicaciones que esto tiene:

Dos compañías que realizan sus pronósticos de incremento en las unidades vendidas para el siguiente ejercicio coinciden en la previsión de una tasa de crecimiento del 25 %. El negocio de mayor dimensión, que cuenta con un Grado de Apalancamiento Operativo mayor, sin embargo, también espera un incremento mayor en el beneficio (50 %) que su competidora, la empresa de menor dimensión (38 %).
Hay que destacar que esta relación también opera en sentido inverso. Es decir, en un supuesto de período de recesión económica, en el que se pronostique una caída en las unidades vendidas, tendríamos una caída de los beneficios también mayor, en términos porcentuales, para la empresa con mayor capacidad de producción, y, por lo tanto, de venta.
Conclusión
La apuesta por el crecimiento de los proyectos exige admitir un mayor grado de riesgo empresarial, desde el momento en que un aumento de la capacidad de producción comporta costes de estructura más elevados.
En general, este crecimiento de los costes fijos viene de la mano de la adopción de tecnología y capacidades de producción (y venta) superiores. Mayores inversiones suponen gastos de amortización más elevados, pero también la contratación de personal más especializado y servicios más sofisticados.
El resultado es que se precisa una cantidad de ventas superior para alcanzar el punto de equilibrio, es decir, la cifra de negocio que consigue dejar atrás las pérdidas y entrar en la senda del beneficio.
Sin embargo, este mayor riesgo tiene como contrapartida una rentabilidad superior cimentada en la reducción de los costes totales por unidad de producto. El coste variable disminuye en función, fundamentalmente, de las mejoras en la productividad y del crecimiento de los pedidos. Por otra parte, el incremento del coste fijo se reparte en un crecimiento superior de las ventas.
Ante una previsión de crecimiento de las unidades vendidas, las empresas con una dimensión superior obtienen un crecimiento de la rentabilidad mayor que las compañías de menor tamaño. Es el efecto del Grado de Apalancamiento Operativo lo que les ofrece una ventaja comparativa que pueden explotar con una reducción del precio de venta y una capacidad de inversión superior a la de sus competidores con menor capacidad productiva.
Sin embargo, todo este proceso se basa en un crecimiento suficiente de la cantidad de producto vendido, puesto que la reducción de las ventas también supone un castigo mayor a la rentabilidad de las empresas de mayor dimensión.
Esperamos que toda esta información te ayude a hacer crecer tu negocio con más garantías de éxito.